Plan de facilidades

Cuotas

  • Cantidad máxima: 60.
  • Son mensuales, iguales y consecutivas.
  • Importe mínimo de cada cuota: $ 50.000 (excepto en aquellos casos en que el total consolidado no supere este valor).

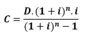
Fórmula para la determinación de las cuotas

Fórmula para planes de facilidades de pago (artículo 8º)
La fórmula para el cálculo de las cuotas es la siguiente:

Fórmula para la determinación de las cuotas

Referencias:

  • C = monto de la cuota que corresponde ingresar
  • D = monto total de la deuda consolidada menos el pago a cuenta, en caso que corresponda
  • n = total de cuotas que comprenden el plan
  • i = tasa de interés mensual de financiamiento

Pago a cuenta

El ingreso de un pago a cuenta corresponde solo si se regulariza el importe de capital de los anticipos y del monto adeudado por el Impuesto al Valor Agregado por prestaciones de servicios realizadas en el exterior cuya utilización o explotación efectiva se lleve a cabo en el país (en cuyo caso, dicho pago a cuenta estará compuesto por el monto total de estas obligaciones).

Tasa de interés de financiación

La tasa de interés de financiación es la que resulte de aplicar 50% sobre la tasa de interés resarcitorio del artículo 1° de la Resolución 3/24 del Ministerio de Economía, vigente a la fecha de entrada en vigor de este régimen (24 de febrero de 2026).

La tasa obtenida se expresa en valor porcentual truncándose en el segundo decimal.

Fecha de consolidación de la deuda

Es el día de la cancelación del pago a cuenta o presentación del plan, según corresponda.

Ingreso de las cuotas

Las cuotas del plan vencen el día 16 de cada mes, a partir del mes inmediato siguiente al de consolidación de la deuda y formalización de adhesión.

La forma de pago es por débito automático en cuenta bancaria.

Si al día de vencimiento para el pago no se canceló la cuota, se realiza un nuevo intento de débito el día 26 de ese mismo mes.

Las cuotas que no se hubieran debitado en alguna de esas dos oportunidades, pueden rehabilitarse a través del servicio “Mis Facilidades”: se puede optar por su débito directo el día 12 del mes inmediato siguiente al de la solicitud de rehabilitación, o pagarse a través de un VEP.

La solicitud de rehabilitación de la cuota impaga no impide la caducidad del plan en caso de verificarse alguna de las causales de caducidad, en el plazo que medie hasta la fecha prevista para el pago de la aludida cuota.

El ingreso fuera de término de las cuotas devenga intereses resarcitorios por el período de mora, los que se calculan conforme el artículo 37 de la Ley de Procedimiento Tributario y 794 del Código Aduanero, según corresponda, debiendo pagarse con la respectiva cuota.

Cuando el día fijado para el cobro coincida con feriado o inhábil, el intento de débito se traslada al primer día hábil inmediato siguiente. Si se trata de un feriado local, el débito de la cuota se efectúa durante los días subsiguientes, según las particularidades de la respectiva operatoria bancaria.

El resumen del banco en el que conste el importe de la cuota y la impresión con todos los datos de la obligación y del pago que emite el sistema informático habilitado por ARCA, son constancia válida del pago.

Cuando el importe total a cancelar sea igual o superior a $ 100.000.000, o ante situaciones excepcionales que imposibiliten concretar (por razones operativas) el débito directo de las cuotas, aplican las disposiciones 4º y 5º de la Resolución General 5.279.

Cancelación anticipada

Quienes adhieran a los planes de facilidades pueden solicitar, por única vez, la cancelación anticipada total del saldo de la deuda comprendida en ellos, a partir del mes en que se produzca el vencimiento de la segunda cuota.

La solicitud se hace por el servicio “Presentaciones Digitales”, trámite “Planes de Pago – Anulaciones, cancelaciones anticipadas totales y otras”, informando el número de plan a cancelar anticipadamente.

Para determinar el importe de la cancelación anticipada, se consideran las cuotas vencidas e impagas y las no vencidas, sin tener en cuenta la cuota del mes en que se realiza la solicitud.

Si se opta por la cancelación anticipada por débito, el servicio “Mis Facilidades” calcula el monto de la deuda a cancelar (capital más intereses de financiación) al 12 del mes siguiente de efectuada la solicitud, fecha en la que se debita de la cuenta, en una única cuota.

Cuando el día fijado para el cobro de la cancelación anticipada coincida con feriado o inhábil, el intento de débito se traslada al primer día hábil inmediato siguiente. Si se trata de un feriado local, el débito de la cuota se efectúa durante los días subsiguientes, según las particularidades de la respectiva operatoria bancaria.

Si se optó por la cancelación anticipada, no existe la posibilidad de continuar cancelando las cuotas de acuerdo con el plan de facilidades original.

Si no se puede hacer el débito de la cancelación anticipada, se puede pedir la rehabilitación para que sea debitado el 12 del mes siguiente, o bien pagarlo por VEP. Esa solicitud de rehabilitación no impide la caducidad del plan de facilidades en caso de verificarse la existencia de alguna de las causales de caducidad, en el plazo que medie hasta la fecha para el pago del monto de la cancelación anticipada.

El monto calculado devenga intereses resarcitorios.

Cuando el importe total a cancelar sea igual o superior a $ 100.000.000, o bien ante situaciones excepcionales que imposibiliten concretar (por razones operativas) el débito de la cancelación anticipada, aplican las disposiciones de los artículos 4º y 5º de la Resolución General 5.279.