Cuotas, condiciones y fórmula
Cuotas
La cantidad máxima de cuotas y el porcentaje del pago a cuenta dependen del tipo de contribuyente que adhiera, según el siguiente detalle:
Tipo de contribuyente | Cuotas (cantidad máxima) |
Pago a cuenta (porcentaje deuda consolidada) |
---|---|---|
Personas humanas Sucesiones indivisas MiPyMEs Entidades sin fines de lucro Sector salud |
60 | 10% |
Medianas Empresas -Tramos 1 y 2- (excepto personas humanas y sucesiones indivisas, que se incluyen en el tipo anterior) |
48 | 15% |
Resto de los contribuyentes | 36 | 20% |
La tasa de interés aplicable es del 50 % de la tasa de interés resarcitorio -según Resolución Nº 3/24 MECON- vigente al 1º de julio de 2025.
Condiciones
Los planes de facilidades de pago reunirán las siguientes características:
- El pago a cuenta se calculará sobre el total de la deuda consolidada.
- Las cuotas serán mensuales, iguales y consecutivas. Su monto se calculará aplicando las variables indicadas en el cuadro anterior según la fórmula que se consigna debajo.
- El monto mínimo del pago a cuenta y de cada cuota será de $ 2.000.-
- Los intereses resarcitorios y punitorios calculados por el sistema no podrán ser modificados por el contribuyente o responsable.
- La fecha de consolidación de la deuda será la correspondiente al día de la cancelación del pago a cuenta, lo que generará la presentación automática del plan.
- La presentación del plan será comunicada al contribuyente a través del Domicilio Fiscal Electrónico.
- No existirán restricciones en la cantidad de planes de facilidades de pago a presentar.
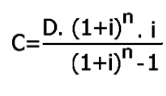
Fórmula para la determinación de las cuotas
La fórmula para el cálculo de las cuotas es la siguiente:

Donde:
- C = monto de la cuota que corresponde ingresar
- D = monto total de la deuda consolidada, menos el pago a cuenta
- n = total de cuotas que comprenden el plan
- i = tasa de interés mensual de financiamiento